学生 |
教职工 |
校友 |
访客
English
首页
学校概况
学校标识
学校简介
现任领导
历任领导
职能部门
学校章程
教学单位
师资队伍
师资队伍概况
专家教授
教学名师
研究生导师
教育教学
本科生教育
研究生教育
成人教育
留学生教育
科学研究
科研平台
学术期刊
科研诚信
鉴定中心
开放课题
招生就业
本科生招生
研究生招生
人才招聘
人才招聘公告
公开招聘系统
图书馆
省直医疗保险
当前位置:
首页
>
医疗保险
>
省直医疗保险
> 正文
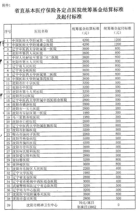
关于调整省直基本医疗保险统筹基金起付标准、定额结算标准等有关规定的通知
发布日期:
2012-09-18
来源:
总务处
作者:
姜旭
阅读次数:
上一篇:
关于省直基本医疗保险急诊抢救、工伤门诊实行网络结算有关问题的通知
下一篇:
关于省直基本医疗保险异地安置人员、驻外人员和外出人员就医有关问题的通知